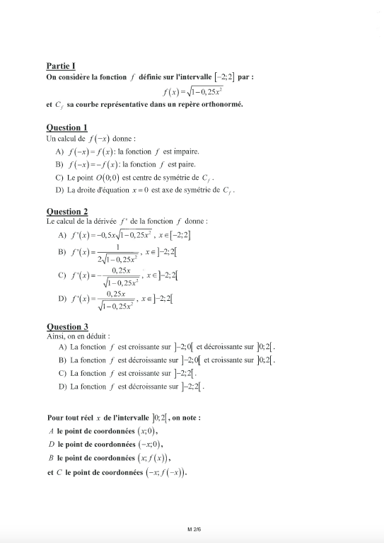
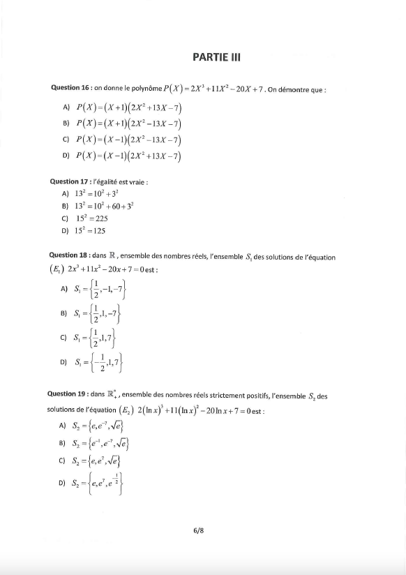
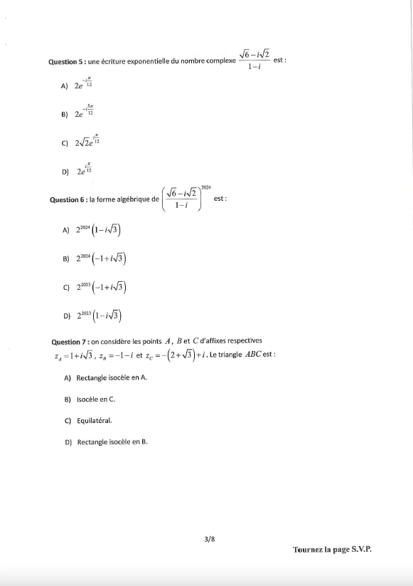
Annales mathématiques concours TSEEAC
Technicien Supérieur des Etudes et d’Exploitation de l’Aviation Civile
RECEVOIR LA DOCUMENTATION
Afin de préparer au mieux nos étudiants aux épreuves du concours TSEEAC, nous mettons à leur disposition une quantité colossale de ressources comprenant des cours (programme officiel), et des compléments de cours (aujourd’hui en marge du programme, mais tellement utiles !), des sujets d’entraînement et bien sûr des annales du concours TSEEAC.
Si les annales du concours TSEEAC sont en téléchargement libre presque partout, nous attirons l’attention des candidats sur le fait qu’elles ne constituent qu’une infime partie du travail à fournir pour qui veut réussir.
Tout candidat inscrit à une prépa TSEEAC, annuelle en présence ou à distance a accès à l’intégralité de ces ressources via notre plateforme dédiée à la préparation du concours.





















































